解答 su=t2の証明
円O1,O2,O3,O4の半径をr1,r2,r3,r4とします。円O1と円O2の位置から(r1-r2)2+(a+b)2=(r1+r2)2、すなわち(a+b)2=4r1r2となります。同様にO1と円O5、円O2と円O5の位置からa2=(r1+s)2-(r1-s)2=4r1s, b2=(r2+s)2-(r2-s)2=4r2s、すなわち
,
,
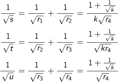
、したがって
、両辺を
で割ると
となります。
同様に
、
となっています。
一方、△O1P1O2,△O2P2O3,△O3P3O4は相似ですので、
より(r1-r2)(r2+r3)= (r2-r3)(r1+r2)、この式をきれいにしますとr1r3=(r2)2となります。同様にr2r4=(r3)2となり、
という関係があります。この値をkとすればr1=kr2,r2=kr3,r3=kr4ですのでr1=k3r4, r2=k2r4となります。
上記の関係式を7個の円に適用すると、

となり、ここからsu=t2となります。



